杨西河《地理雌雄宝典》
XZFS12637_杨西河《地理雌雄宝典》332页PDF电子书.pdf
序
何谓地理风水?地理风水乙事乃古圣先贤之考究心得持以为民造福趋吉避凶救贫致富和造坟营宅安神取其祯祥。地理风水诸书繁杂、根据记载流传有三合地理三元地理九星地理、众说纷云而各种应用口诀更是难于透澈理解。
杨筠松先师手着之青囊奥语、曾公安先师之青囊序、蒋大鸿先师之辨正疏、奥语真是奥之又奥、青囊序欲言又止、辨正疏的别字是误植或是误书?其也愈辨愈疏、非得心传口授真诀者、在疏奥之间会如入五里雾中。后学杨西河承祖上留传之地理雌雄宝典、并搜集地理诸书再三宝地印证、验既往古坟名宅均能吻合家传之宝典。
本人二十余年来造福主家不计其数、授徒十余人皆以本宝典作基础倾囊造福、传授之评语极佳、本宝典乃杨曾廖赖蒋先师之真传若持以阴居格龙立向、阳居筑屋相宅辨吉凶位、预测灾祥丝毫不爽。特整理成册而将地理应用口诀图解化、玄空紫白占宫廿四山化、祇要玄空而不必大旋空、坤山艮向也不必颠倒颠、图文详注毛笔书写、用之预卜阴居阳宅简单明了易学易用、伫望向学者皆是大罗仙。虽精细著书但遗误之处尚先进同好不吝鞭策指正是所至盼。
本人二十余年来造福主家不计其数、授徒十余人皆以本宝典作基础倾囊造福、传授之评语极佳、本宝典乃杨曾廖赖蒋先师之真传若持以阴居格龙立向、阳居筑屋相宅辨吉凶位、预测灾祥丝毫不爽。特整理成册而将地理应用口诀图解化、玄空紫白占宫廿四山化、祇要玄空而不必大旋空、坤山艮向也不必颠倒颠、图文详注毛笔书写、用之预卜阴居阳宅简单明了易学易用、伫望向学者皆是大罗仙。虽精细著书但遗误之处尚先进同好不吝鞭策指正是所至盼。
洪序--洪昭男
锺序--锺进添
林序--林启元
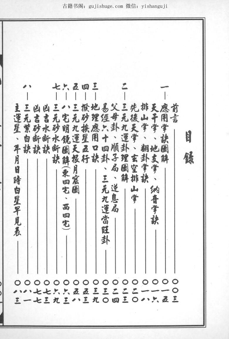
前言
一.应用掌诀图解
天干掌、地支掌、纳音掌诀
排山掌、翻卦当诀
先后天掌、玄空排山掌
二.三元九运卦理图解
父母卦、顺子局、逆息局
易经六十四卦、三元九运当旺卦
三.地理应用口诀
四.拨砂挨星五行
五.三元九运天根月窟图
六.八宅明镜图解(东四宅、西四宅)
七.三元砂水断诀
凶吉水断诀
凶吉砂断诀
八.三元紫白诀
主运星、年时白星早见表
三元紫白星主运图解
三元生旺方、死退杀气方断诀
三元山水紫白挨星诀
壬子癸丑艮寅山、山水值吉图解
甲卯乙辰巽巳山、山水值吉图解
丙午丁未坤申山、山水值吉图解
庚酉辛戍干亥山、山水值吉图解
九.玉楼经安福德诀廿四山吉凶图解
安福德、安质库活盘制作
十.三元玄空诀
上元廿四山玄空大卦图解
中元廿四山玄空大卦图解
下元廿四山玄空大卦图解
三元九运廿四山下卦起星图
三元玄空诀应用详解
十一.地理明师应具备之用事口诀
后语




免责声明:
(1)站内所有资源均来自互联网收集或用户上传分享,本站不拥有此类资源的版权
(2)古籍书阁作为网络服务提供者,对非法转载,盗版行为的发生不具备充分监控能力.但是当版权拥有者提出侵权指控并出示充分版权证明材料时,古籍书阁负有移除盗版和非法转载作品以及停止继续传播的义务
(3)古籍书阁在满足前款条件下采取移除等相应措施后不为此向原发布人承担违约责任或其他法律责任,包括不承担因侵权指控不成立而给原发布人带来损害的赔偿责任
以上内容如果侵犯了你的权益,请联系微信:yishanguji qq:122593197 我们将尽快处理
(1)站内所有资源均来自互联网收集或用户上传分享,本站不拥有此类资源的版权
(2)古籍书阁作为网络服务提供者,对非法转载,盗版行为的发生不具备充分监控能力.但是当版权拥有者提出侵权指控并出示充分版权证明材料时,古籍书阁负有移除盗版和非法转载作品以及停止继续传播的义务
(3)古籍书阁在满足前款条件下采取移除等相应措施后不为此向原发布人承担违约责任或其他法律责任,包括不承担因侵权指控不成立而给原发布人带来损害的赔偿责任
以上内容如果侵犯了你的权益,请联系微信:yishanguji qq:122593197 我们将尽快处理
关于售后:
(1)因部分资料含有敏感关键词,百度网盘无法分享链接,请联系客服进行发送;
(2)如资料存在张冠李戴、语音视频无法播放等现象,都可以联系微信:yishanguji 无条件退款!
(3)不用担心不给资料,如果没有及时回复也不用担心,看到了都会发给您的!放心!
(4)关于所收取的费用与其对应资源价值不发生任何关系,只是象征的收取站点运行所消耗各项综合费用
(1)因部分资料含有敏感关键词,百度网盘无法分享链接,请联系客服进行发送;
(2)如资料存在张冠李戴、语音视频无法播放等现象,都可以联系微信:yishanguji 无条件退款!
(3)不用担心不给资料,如果没有及时回复也不用担心,看到了都会发给您的!放心!
(4)关于所收取的费用与其对应资源价值不发生任何关系,只是象征的收取站点运行所消耗各项综合费用
温馨提示:
部分玄学、武术、医学等资料非专业人士请勿模仿学习,仅供参考!
部分玄学、武术、医学等资料非专业人士请勿模仿学习,仅供参考!
古籍书阁 » 杨西河《地理雌雄宝典》